pronóstico de recuperación funcional facial fueron:
Constante е: 2, 7181
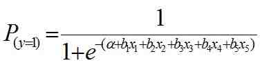
Constante de la Función Logística α: – 4,38
Parámetros de la función logística:
Resultados de B Variables
b1 (fmuscul) =2.492 fuerza muscular: 1-no satisfactoria 2- satisfactoria.
b2 (pa-pa) = 2.381 1- parálisis 2- paresia.
b3 (sintocli) =1.888 sintomatología 1-presencia 2- ausencia.
b4 (p.f.a.) = 1.748 parálisis facial recidivante 1- presencia 2- ausencia.
b5 (diabetes)= 1.130 diabetes mellitus 1- presencia 2-ausencia
Cuando hay presencia de riesgo, se sustituye en la ecuación por 1; cuando no hay presencia de riesgo, se sustituye el número 2 por cero 0 en la ecuación.
Fórmula final de Regresión Logística utilizada con las cinco variables seleccionadas que nos permite conocer las diferentes probabilidades resultantes al combinarlas. Si el resultado de la probabilidad resultantes es mayor de 0,5 la evolución del paciente será 2 que es mala, si el resultado es menor de 0,5 la evolución será 1 que es favorable de recuperación.

Explicación de las combinaciones 11111 y 22222.
En la Tabla 3, se observan los resultados finales de la población estudiada con respecto a las variables predictivas seleccionada por la Regresión Logística. Con respecto a la combinación 11111 el paciente presenta una parálisis facial, con sintomatología clínica, con fuerza muscular no satisfactoria, con antecedentes de parálisis facial anterior, y padeciendo de diabetes mellitas. Si analizamos este resultado obtenido por la combinación clínica; el resultado de la ecuación de regresión logística, es 0,99483 y como este resultado es mayor que el punto de corte 0,5 la evolución pronóstico de este paciente será 2, que equivale a una mala recuperación facial.
En la siguiente combinación 22222 que equivale a (00000). Recordar que el valor de 2, se transforma en el valor 0 en la ecuación, porque se refiere a la no existencia del factor de riesgo. En esta combinación el paciente presenta una paresia facial, con una fuerza muscular satisfactoria, sin síntomas clínicos, ni antecedentes de parálisis facial anterior, y no padece de diabetes mellitas. Su probabilidad fue de 0.01237; y como este resultado es menor que el punto de corte 0,5 la evolución será 1, que equivale a una buena recuperación facial.
En la siguiente tabla se observan los diferentes resultados de la evolución de la población estudiada.
Tabla 3.-Resultados predictivos para la población estudiada utilizando las cinco variables seleccionadas por el algoritmo.

Conclusiones:
Con la aplicación de la fórmula de Regresión Logística se puede definir un pronóstico de recuperación facial, cuyo resultado nos permite tomar las decisiones clínicas útiles para su tratamiento adecuado.
Bibliografía:
1. Burs M. El Manual Merck de Diagnóstico y tratamiento. Madrid. Elsier. 5. 2007:1390-91.
2. Silva Aycaguer LC. Excursión a la Regresión Logística en Ciencias de Salud. Madrid. Ed. Díaz Santos. 1995
3. Scola Y, Ramírez C, Scola P. Parálisis Facial Recidivante Idiopática. Acta Otorrinolaringol Esp. 2005; 55 (7): 343-5.
4. Eidlitz-Markuz T. Recurrent facial nerve palsy in paediatric patients. EUR J. Pediatric. 2001;160 (11): 659-63.
5. Ronthal M, Shefner J, DasheJ. Bell’s palsy. 2009: 1-10. Disponible en:
http://www.uptodate.com/contents/bells-palsy-pathogenesis-clinical-features-and-diagnosis?source=search_result&selectedTitle=2~26
6. García Rodríguez J.F, Bouza Herrera C. Una Mirada desde la Investigación de Operaciones. 1ª Ed. México. 2010, 24-32. ISBN: 968-5518-27-0
7. Figuera MS. Modelos de Regresión con respuestas cualitativas: Regresión Logística. 2000. Disponible en:
http://www.5campus.com
8. Jalil M A, Misas M. Evaluación de pronósticos del tipo de cambio utilizando redes neuronales y funciones de pérdida asimétricas. 2009.
9. Hilera JR, Martínez VJ. Redes Neuronales